Fakultät für Mathematik und Naturwissenschaften

Abb.1: Schematische Darstellung der KATRIN Beamline. (Klicken Sie für vergrößerte Darstellung)

Das KATRIN Experiment am Karlsruher Institut für Technologie hat zur Aufgabe die Masse des Elektron-Antineutrinos zu vermessen. Neutrinos sind Leptonen (so wie Elektronen), die keine Ladung besitzen und nur über die schwache Kraft, eine der vier Grundkräfte im Universum, mit ihrer Umgebung wechselwirken. Deshalb, und weil Neutrinos nur sehr wenig Masse besitzen, ist deren Nachweis sehr schwierig. Die Bestimmung ihrer Masse erfordert den Einsatz wissenschaftlicher Großgeräte wie dem KATRIN Experiment.

Grundlegende Physik hinter KATRIN

Die Massenbestimmung erfolgt bei KATRIN durch die Vermessung des β-Zerfalls von Tritium:

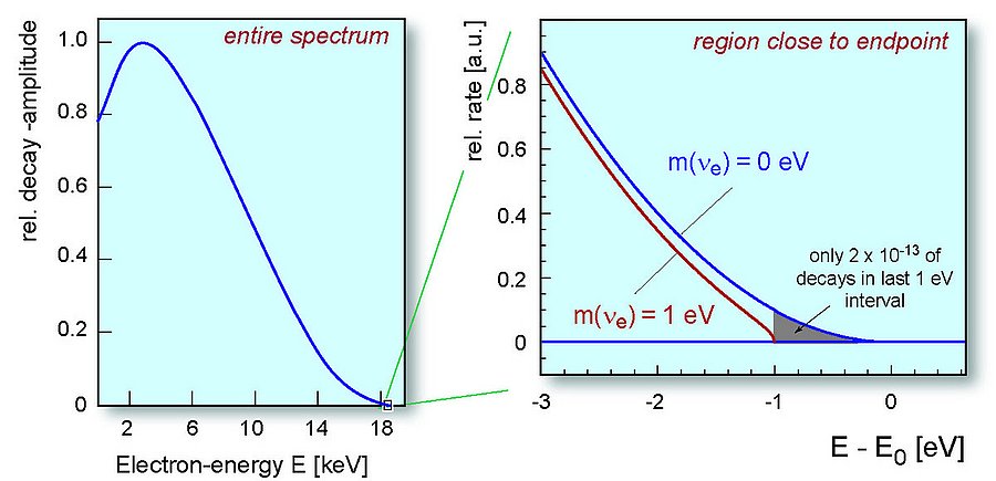
Abb.2: Bei Betrachtung des β-Spektrums des Tritiumzerfalls fehlen β-Elektronen im obersten Energiebereich, abhängig von der tatsächlichen Masse des Elektron-Antineutrinos. (Klicken Sie für vergrößerte Darstellung)

Die freiwerdende Energie wird in Form von Masse und kinetischer Energie auf die drei Produkte verteilt. Das führt zu einem kontinuierlichen Energiespektrum der emittierten Elektronen. Energie und Masse der Elektronen und des Heliumkerns können gemessen werden. Summiert man alle bekannten Massen und Energien auf, gibt es eine Differenz zur freigewordenen Energie beim β-Zerfall des Tritiums. Die minimal mögliche Differenz entspricht der Masse des Neutrinos.

Aufbau von KATRIN und Beiträge unserer Gruppe

Das KATRIN Experiment besteht aus verschiedenen Sektionen:

  1. Die Windowless Gaseous Tritium Source (WGTS) ist mit Tritium gefüllt.
  2. Über mehrere Pumpstrecken mit abnehmenden Drücken wird das Tritium abgepumpt. Die Elektronen aus den Tritiumzerfällen verbleiben dabei in der Apparatur.
  3. Die darauffolgenden Spektrometer sind nur durchlässig für Elektronen bestimmter Energie.
  4. Die transmittierten Elektronen treffen letztendlich auf den Detektor.

Abb.3: Die für den Forward Beam Monitor vorgesehene pin-Diode.

Für die korrekte Interpretation von Messungen mit KATRIN müssen viele Parameter des Experiments genau bekannt sein. Unsere Arbeitsgruppe arbeitet hierfür am sogenannten Forward Beam Monitor, eine Messsonde, die den Elektronenfluss in der Apparatur auf dem Weg von der Tritiumquelle zu den Spektrometern beobachtet. Der Elektronenfluss ist unter anderem von der Säulendichte des Tritiums in der WGTS abhängig. Ist diese nicht zu jeder Zeit bekannt, kann aus der gemessenen Elektronenrate am Detektor kein Spektrum mit hinreichender Genauigkeit errechnet werden.

Der Forward Beam Monitor wird zwischen der letzten Pumpsektion und dem Vorspektrometer eingesetzt werden. Mit ihm misst man also das volle Elektronenspektrum von der Tritiumquelle. Es ist das Ziel, den gesamten Querschnitt des Elektronenstrahls zu vermessen, ohne die Spektralmessungen zu stören. Dazu wird eine sogenannte pin-Diode sehr präzise durch den Elektronenstrahl bewegt. Eine weitere Anforderung an den Forward Beam Monitor ist eine hohe Energieauflösung von ca. 1%, um mit hoher Präzision nur den relevanten Energiebereich des Elektronenspektrums zu beobachten.

Unsere Arbeitsgruppe arbeitet sowohl an der Konstruktion der Hardware für den Forward Beam Monitor, der dazugehörigen Auslesesoftware und an Simulationen zum Elektronenstrahlverlauf. Wegen des Einsatzes in einem potentiell mit Tritium kontaminierten Bereich gibt es sehr hohe Anforderungen an die Vakuumtechnik und Materialien, welche beim Forward Beam Monitor zum Einsatz kommen. Auch die Entwicklung der Ausleseelektronik für die pin-Diode ist wegen der geforderten hohen Energieauflösung sehr anspruchsvoll. Erste Tests des Monitors werden an einer hier entwickelten Elektronenquelle durchgeführt werden. Der Forward Beam Monitor wird mithilfe dieser Elektronenquelle, sowie im weiteren Verlauf auch direkt im KATRIN Experiment kalibriert.

Insgesamt liefert der Forward Beam Monitor also einen essentiellen Beitrag zur Systematik der Neutrinomassenbestimmung. Die entsprechenden Korrekturen, die sich daraus für das gemessene beta-Spektrum ergeben, gehören zu unseren Analyse-Beiträgen.